
В скоплении Гиады нашли возможные черные дыры рядом с Землей
С момента обнаружения первых гравитационных волн в 2015 году специалисты наблюдали множество событий, которые свидетельствуют о слиянии пар черных дыр малой массы, называемых черными дырами звездной массы. По этим событиям можно предположить, что многие из таких черных дыр принадлежат к открытым скоплениям.
Теперь исследователи обнаружили признаки черных дыр звездной массы в ближайшем к Солнцу открытом скоплении Гиады. Исследование, проведенное под руководством постдока Стефано Торниаменти (Stefano Torniamenti) из Университета Падуи, позволяет предположить существование нескольких черных дыр в этом скоплении. Таким образом, это самые близкие к Земле черные дыры из когда-либо обнаруженных. Торниаменти заявил:
«Наше моделирование может одновременно соответствовать массе и размеру Гиад только в том случае, если в центре скопления сегодня или до недавнего времени присутствуют несколько черных дыр».
Для проведения исследования команда использовала моделирование, отслеживающее движение и эволюцию всех звезд в Гиадах, чтобы воспроизвести их текущее состояние. Скопление находится на расстоянии около 150 световых лет от Солнца в созвездии Тельца.
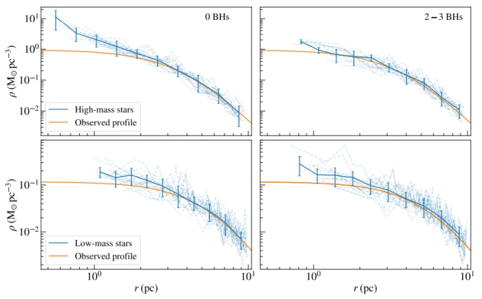
Результаты моделирования сравнивались с реальными положениями и скоростями звезд в Гиадах, точно известными по наблюдениям спутника Gaia ЕКА. Наблюдаемые свойства Гиады лучше всего воспроизводятся при моделировании, в котором присутствуют две или три черные дыры, как показано на графике ниже.
На самом деле даже моделирование, в котором все черные дыры были выброшены менее 150 млн. лет назад, т.е. примерно в последнюю четверть возраста скопления, может дать хорошее совпадение. В этом случае эволюция скопления не смогла бы стереть следы предыдущей популяции черных дыр.
Полученные результаты, по-видимому, указывают на то, что черные дыры, родившиеся из Гиады, все еще находятся в пределах скопления или очень близко к нему. Это делает их самыми близкими к Солнцу черными дырами, гораздо ближе, чем предыдущий кандидат Gaia BH1, который находится на расстоянии 1565 световых лет от Солнца. Это открытие позволяет понять, как присутствие черных дыр влияет на эволюцию звездных скоплений. И как звездные скопления, в свою очередь, вносят вклад в источники гравитационных волн.
В будущем детальное моделирование, проведенное для скопления Гиады, может быть применено к другим скоплениям. Это позволит глубже понять распространенность черных дыр в этих средах и их демографию во Вселенной.
Новое исследование является результатом тесного сотрудничества между Университетом Падуи, ICUBB-IEEC, Кембриджским университетом, ESO и Национальным университетом имени Сунь Ятсена. С результатами нового исследования, опубликованными в журнале Monthly Notices of the Royal Astronomical Society, можно ознакомиться здесь.