
Открытие двух сверхмощных солнечных вспышек древности дает новые возможности для наук о прошлом
В журнале Nature Communications 7 марта опубликована статья международного коллектива авторов из 9 стран, которые обнаружили следы двух чрезвычайно сильных солнечных вспышек, которые произошли несколько тысячелетий назад, в 7176 и 5259 годах до н.э. О том, какое значение имеют результаты этого открытия для развития естественных и гуманитарных наук мы попросили рассказать единственного российского участника исследований Хантемирова Рашита Мигатовича, в.н.с. лаб. Дендрохронологии ИЭРиЖ УрО РАН и лаб. естественно-научных методов в гуманитарных исследованиях УрФУ.
— О вспышках на солнце мы слышим чуть ли не каждую неделю. Что нового выявлено в вашем исследовании?
— Солнечные вспышки, о которых сообщают в новостях, представляют собой заурядные события даже по сравнению с тем, что бывало в последние десятилетия. Самая сильная вспышка за время инструментальных наблюдений, которые ведутся с 1940-х гг., произошла 23 февраля 1956 года. Было зафиксировано примерно 50-кратное превышение нормального уровня космических лучей. Больше известен еще более мощный солнечный шторм, названный событием Каррингтона, который произошел в начале сентября 1859 года. Вызванная им геомагнитная буря привела к отказу в работе телеграфа. Случись такое сегодня, наверняка произошли бы катастрофические последствия для всей энергосистемы Земли, что привело бы к тяжелым экономическим и социальным последствиям.
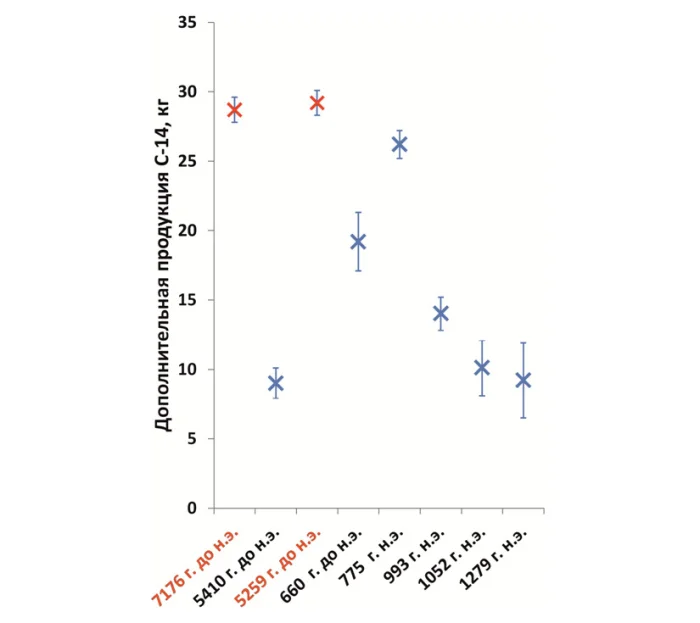
Но даже эти события намного слабее тех, которые обнаружены в нашем исследовании. Справедливости ради надо сказать, что впервые подобное суперсобытие было обнаружено девять лет назад японскими исследователями в древесных кольцах, образованных в 774 г. Оно названо по имени первооткрывателя, аспирантки Фусы Мияке, «событием Мияке». О том, как было сделано это открытие и что за этим последовало, я уже рассказывал три года назад. К настоящему времени, до публикации нашей статьи, с помощью древесных колец было надежно выявлено еще 2 подобных события: в 993 г. н.э. и 660 г. до н.э. Но это были менее мощные вспышки. Еще три события-кандидата, 1279, 1052 г. н.э. и 5410 г. до н.э., ждут своего подтверждения, они пока недостаточно надежно вычленяются из нормальной солнечной модуляции. А в нашей работе выявлено сразу два бесспорных события, и они сравнимы по энергии с событием 774 года, а в некотором смысле и превосходят его.
— Как вы узнаете о датах вспышек в далеком прошлом?
— С помощью годичных колец деревьев. Мощный солнечный шторм приводит к резкому усилению образования некоторых радиоактивных элементов в атмосфере Земли: бериллия-10, хлора-36, углерода-14. Радиоактивный углерод в составе углекислого газа поступает в деревья и откладывается в них в виде органических соединений, в том числе в древесине ствола. Анализируя содержание радиоуглерода в отдельных годичных кольцах деревьев, мы можем сказать, как менялось его содержание в атмосфере с точностью до одного года.
— И что, у нас есть деревья, которые живут по 7-9 тысяч лет?
— Нет, таких деревьев нет. Максимум составляет около 5 тысяч лет, столько могут прожить отдельные экземпляры сосны остистой в засушливых районах Северной Америки. А на территории России даже лиственницы-рекордсмены не дотягивают до одной тысячи лет. Но зато в отдельных районах мира сохранились остатки деревьев, которые росли много тысячелетий назад. Те же сосны остистые погибнув не сгнивают, а сохраняются в сухих условиях еще несколько тысяч лет. В реках Европы можно найти мореный дуб, пролежавший под водой 12 тысяч лет. На дне альпийских озер покоятся древние лиственницы и кедры. А у нас на Ямале в вечной мерзлоте многие тысячелетия в целости и сохранности пребывают лиственницы и ели.
— Но как вы можете определить, в каком году образовалось каждое кольцо у погибших деревьев?
— С помощью метода перекрестной датировки. Он основан на сравнении узора, который образуют последовательности древесных колец. У каждого отрезка времени есть свой неповторимый узор изменчивости древесных колец. Мы работаем над тем, чтобы выяснить, как менялись эти узоры на Ямале в последние 10 тысяч лет, и уже построили древесно-кольцевую хронологию длительностью 8768 лет. До 7176 года до н.э. мы еще не дотянули, но событие 5259 г. до н.э. обнаружено, в том числе и с помощью древесных колец лиственницы с Ямала.
— А как в вашей работе оценивается сила солнечных вспышек?
— В килограммах. Дополнительных килограммах радиоактивного углерода, который образовался в атмосфере Земли в результате солнечной вспышки. В среднем за год в атмосфере Земли под влиянием космических лучей образуется около 7-8 кг радиоуглерода. Согласно расчетам, основанным на высоте скачка радиоуглерода, в годичных кольцах в 774 году образовалось 26 дополнительных килограмм. А обнаруженные в нашей статье вспышки 7176 и 5259 года до н.э. привели к образованию 29 кг радиоуглерода каждая.
— Ваши коллеги заранее знали, в каком диапазоне лет искать эти два события, или обнаружили их случайно?
— Нет, неслучайно. Событие в диапазоне 7200-7150 гг. до н.э. предполагалось на основе данных низкого разрешения по содержанию бериллия-10 и хлора-36 в ледовых колонках. А внутри этого диапазона сузить период поиска помогли данные радиоуглеродной калибровочной кривой (IntCal20). Эта кривая создавалась несколько десятилетий назад, ее последние 12 тысяч лет основаны на данных анализа древесных колец. Но в то время анализ проводился старым методом, он был не только менее точным, но и требующим большой массы анализируемого материала. Для анализа использовали не отдельные кольца, а группы по десятку колец.
Вторая радиоуглеродная аномалия, в середине 53 века до н.э., была предположена из-за того, что радиоуглеродные датировки археологических объектов этого времени давали противоречивые результаты. А вот данные ледовых колонок и калибровочная кривая никаких подсказок не давали.
Древесно-кольцевых хронологий длительностью более 9 тысяч лет совсем немного. Поэтому для обнаружения события 7176 года до н.э. были использованы только две европейские хронологии –по лиственнице из альпийских озер и дубу из Германии. А для события 5259 года использован материал из четырех мест (рисунок 4). Радиоуглеродный анализ древесных колец был проведен в лаборатории физики ионных пучков Швейцарского федерального технического университета в Цюрихе. Там же работают инициаторы нашего исследования.
Меня не перестает удивлять точность дендрохронологического метода. Причин для сомнений не было, но тем не менее. Данные трех независимых хронологий для события, произошедшего более 7 тысяч лет назад, абсолютно совпали! И только данные по сосне остистой немного смазали картину. Скорее всего, это связано с тем, что кольца у этого дерева очень узкие, поэтому их не удалось чисто разделить. Данные по двум районам для события 7176 года до н.э. тоже полностью совпали.
— Какие главные выводы следуют из вашей работы?
— Случись сегодня солнечный шторм той же силы, что и для обнаруженных нами событий, современное человечество, в отличие от прошлых цивилизаций, где не было ни электричества, ни интернета, ни космических аппаратов, столкнется с катастрофическими последствиями для глобальной экономики и общественного устройства. Ранее на основе наблюдения за звездами идентичными Солнцу, предполагалось, что события такой силы могут происходить раз в 3-6 тысяч лет. Теперь мы можем оценить вероятность такого события по данным о самом Солнце. На сегодняшний день с разрешением в 1-2 года, необходимого для выявления сверхмощных солнечных вспышек, исследовано 2030 лет. И за этот период надежно выявлено 5 мощнейших солнечных вспышек. То есть примерно одно событие в 400 лет. Вероятность не так уж и мала.
Но мне интереснее обсуждать то, как знание точных дат сверхмощных вспышек можно использовать для развития наук о прошлом.
— И какие же это возможности?
— Теперь точность датировок древних событий и процессов вполне реально повысить в несколько раз. Например, на порядок можно снизить ошибку в определении времени формирования слоев льда в Гренландии и Антарктиде. Это будет сделано на основе совмещения дат всплесков «солнечных» изотопов в древесных кольцах и ледовых колонках. Ювелирная точность датировок ледовых отложений это не просто помощь гляциологам. Данные об изотопном составе ледовых колонок – один из основных источников наших знаний об изменениях климата в последние тысячелетия. Теперь, например, можно точно сопоставлять некоторые события истории человечества с изменениями климата.
Другое применение ледовых колонок – определение дат крупных вулканических извержений с помощью анализа резких подъемов содержания сульфатов. Отныне можно будет очень точно сопоставить пики сульфатов в ледовых колонках и данные древесных колец о резком падении температуры воздуха. Так, например, дендрохронологи довольно долго не могли убедить гляциологов в том, что ими неправильно идентифицирован всплеск концентрации сульфатов знаменитого извержения 536 года. И только открытие события Мияке 774 года помогло точно датировать слои в ледовых колонках Гренландии на основе совмещения резкого подъема радиоуглерода в древесных кольцах с соответствующим подъемом радиоактивного бериллия в ледовых колонках.
После этого не осталось сомнений в том, что к небывалому похолоданию в Северном полушарии после 536 года привело не одно извержение, а два последовательных, в течение 3-4 лет. И это позволило идентифицировать местоположение источников извержений. Теперь такая возможность точного сопоставления открывается для всей эпохи голоцена. Первое, что приходит в голову – будет решен вопрос с источниками серии извержений 17 века до н.э., климатический эффект которых выявлен, в том числе благодаря данным годичных колец деревьев с Ямала. Это было похолодание намного более серьезное, чем после событий 536-540 годов. Надеемся, что наконец выяснится, причастно ли к этому знаменитое извержение вулкана Санторин, приведшего к гибели Минойской цивилизации.
Но повышение точности датирования касается не только ледовых колонок. Историки и археологи, а также геологи и палеогеографы получают большой бонус в виде возможности датировать радиоуглеродным методом события и процессы прошлого с точностью до года. Такая точность достижима, если в их руках есть образцы деревьев со сравнительно большим числом годичных колец, одно из которых попадает на год супервспышки. Работы с использованием сверхточных датировок с использованием событий 774и 993 года уже есть. И велись они не только на богатом Западе, но и в России. Датировка начала строительства крепости Пор-Бажин в Туве, благодаря событию Мияке, была выполнена даже с точностью до сезона. Теперь возможность точной датировки открывается и для более старых археологических объектов. То есть, все шире становятся временные отрезки, где радиоуглеродный метод может дать точность, сравнимую с дендрохронологическим.
— Что дальше? Будете искать другие супервспышки?
— После работ Мияке с соавторами стало понятно, что анализ изменений радиоуглерода в атмосфере в прошлом с разрешением в один год не просто дает более точную картину изменений этого изотопа в атмосфере, но может привести к открытию принципиально новых явлений. Поэтому не вызывает сомнений, что ближайшей задачей радиоуглеродного сообщества является анализ год за годом всей эпохи голоцена, то есть последних 10-12 тысяч лет. И желательно для нескольких районов Земли. Такое высокое разрешение и пространственный охват можно получить только при анализе годичных колец деревьев. Методы радиоуглеродного анализа малых количеств древесины давно разработаны.
Загвоздка была только в том, что анализ этот недешевый. Каждое измерение обходится примерно в 50 тысяч рублей. Но лаборатория физики ионных пучков Швейцарского федерального технического университета в Цюрихе находит такое финансирование. Да и Фуса Мияке уже не аспирантка, а весьма уважаемый профессор. Научные фонды Японии готовы предоставить ей необходимые средства для такой работы. Уже сейчас 1600 разделенных годичных колец лиственниц с Ямала находятся в лаборатории Фусы Мияке в Университете Нагойи, они будут проанализированы в ближайшие месяцы. Частично анализ будет продублирован в Швейцарии. Так что через несколько лет по всей вероятности мы будем иметь многотысячелетние ряды измерений радиоуглерода с разрешением в один год для нескольких регионов Земли, где имеются длительные древесно-кольцевые хронологии. Результаты таких исследований дадут возможность восстановить историю солнечной активности, изменений магнитного поля Земли. Кроме того, такие исследования внесут вклад в изучение углеродного цикла и климатических процессов .
Анализ радиоуглерода за каждый год для последних 12 тысяч лет приведет к созданию новой калибровочной кривой для радиоуглеродного датирования, а может и нескольких – для разных районов Земли. Это позволит значительно увеличить точность радиоуглеродного датирования, как единичных датировок, так и проводимых методом wigglematching. Причем это касается не только тех датировок, которые будут проведены в будущем, но и тех, что уже были сделаны раньше! Наверняка, в случае обнаружения других супервспышек, расширятся диапазоны времени, для которых будет возможна радиоуглеродная датировка с точностью до года.