
Телескоп Уэбба нашел галактику, которая не должна существовать
Галактика ZF-UDS-7329 (указана стрелкой), снятая JWST NIRCAM.[/caption]
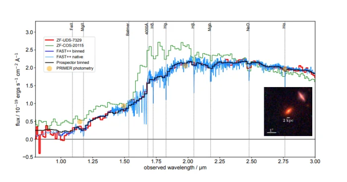
С помощью космического телескопа Джеймса Уэбба (JWST) исследователи обнаружили ZF-UDS-7329 — спокойную галактику, настолько массивную и древнюю, что само ее существование теоретически невозможно. По оценкам, ее возраст составляет 11,5 миллиарда лет, и она содержит большую популяцию гораздо более старых звезд (которые, как считается, образовались на 1,5 миллиарда лет раньше) — в период, когда теоретически не было достаточно темной материи, чтобы позволить им сформироваться.
Формирование галактик является фундаментальной парадигмой Стандартной модели космологии. Согласно этой модели, первые галактики образовались благодаря гравитационному притяжению, вызванному скоплением темной материи в ранней Вселенной. Среди прочего, темная материя собиралась в гало, вокруг которых конденсировалась обычная материя, образуя первые «семена» галактик (протогалактики).
Примерно через 1-2 миллиарда лет после Большого взрыва эти зачатки превратились бы в карликовые галактики, которые, в свою очередь, объединились бы в массивные галактики, такие как наша собственная. Другими словами, галактики в начале Вселенной обычно не должны быть более массивными, чем те, что родились гораздо позже.
Однако недавно телескоп «Джеймс Уэбб» обнаружил чрезвычайно массивные галактики, находящиеся в состоянии покоя (то есть не образующие звезд), которые родились между 1 и 2 миллиардами лет после Большого взрыва. Это ставит под сомнение стандартные теоретические модели образования этих структур, поскольку они должны были сформироваться на 300-500 миллионов лет раньше, чем предполагалось.
«Присутствие этих чрезвычайно массивных галактик так рано во Вселенной ставит под сомнение нашу стандартную модель космологии«, — объясняет Клаудия Лагос, профессор астрономии из Международного центра радиоастрономических исследований (ICRAR) при Университете Западной Австралии, в пресс-релизе Технологического университета Суинберна (Австралия). «Формирование галактик во многом диктуется тем, как концентрируется темная материя«, — добавила она. Однако массивные ореолы темной материи, необходимые для концентрации стандартной материи, из которой образовались первые галактики, не успели бы сформироваться так рано во Вселенной.
В своем новом исследовании, опубликованном в журнале Nature, Лагос и ее коллеги представляют примитивную галактику, более массивную, чем Млечный Путь, что в очередной раз бросает вызов теоретическим ограничениям Стандартной модели. Названная ZF-UDS-7329 (или JWST-7329), она содержит в 4 раза больше звезд, чем наша галактика, хотя образовалась всего через 800 миллионов лет после Большого взрыва — противоречие, которое ставит ученых в тупик.
Теоретические пределы Стандартной модели подвергаются испытанию
Для обнаружения ZF-UDS-7329 ученые в новом исследовании первоначально использовали телескоп Кек (на Гавайях) и Очень большой телескоп (в Чили) — два самых мощных телескопа на Земле. Когда в 2010 году началась их работа, полученные разрешения были недостаточны для оценки возраста галактики. «Она была слишком красносмещенной и слишком слабой, и мы не могли ее измерить. В итоге нам пришлось покинуть Землю и использовать JWST, чтобы подтвердить, что это такое«, — объясняет ведущий автор исследования Карл Глазебрук из Технологического университета Суинберна.
Проанализировав спектрометрические данные с «Джеймса Уэбба», исследователи обнаружили, что возраст ZF-UDS-7329 составляет 11,5 миллиарда лет, а популяция звезд, родившихся на 1,5 миллиарда лет раньше (на красном смещении 11) — около 13 миллиардов лет назад, была гораздо старше. Это означает, что данная галактика сформировалась без достаточного количества материи, что теоретически невозможно, согласно стандартной космологической модели. Кроме того, количество звезд говорит о том, что внезапный взрыв рождений был, но резко прекратился вскоре после формирования галактики.
«Это раздвигает границы нашего нынешнего понимания того, как формируются и эволюционируют галактики«, — говорит в пресс-релизе Темия Нанаяккара из Технологического университета Суинберна, также один из соавторов исследования. Следующим шагом будет выяснение того, как формируются эти загадочные галактики и почему они внезапно переходят в состояние покоя, в то время как другие галактики во Вселенной продолжают образовывать звезды.
«Это наблюдение может указывать на наличие необнаруженных популяций ранних галактик и на возможность существования значительных пробелов в нашем понимании ранних звездных популяций, формирования галактик и/или природы темной материи«, — заключают эксперты в своей работе.