
Согласно новому исследованию, видеоигры могут улучшить когнитивные способности детей
Влияние видеоигр на мозг детей и подростков обсуждается уже несколько лет. Многочисленные исследования связывают видеоигры с поведенческими и другими проблемами психического здоровья. Новое исследование, проведенное в США среди более чем 2200 детей, показывает, что продолжительная игра в видеоигры связана с улучшением когнитивных способностей.
Крупное исследование, проведенное в США в этом году, показало, что 71% детей в возрасте от 2 до 17 лет играют в видеоигры. В результате в последние годы ученые изучают связи между видеоиграми, познанием и психическим здоровьем. Большинство исследований указывают на негативные последствия, связывая видеоигры с определенными поведенческими расстройствами, в основном проявляющимися в виде повышенной агрессивности и/или депрессии. Однако исследования также выявили некоторые положительные аспекты этого вида досуга. Например, видеоигры используются в терапевтическом контексте для лечения определенных поведенческих проблем (таких как СДВГ) или определенных травм.
Несколько исследований также изучали связь между видеоиграми и когнитивным поведением, но нейробиологические механизмы, лежащие в основе этих ассоциаций, изучены недостаточно хорошо. Этой теме было посвящено лишь несколько нейровизуализационных исследований, но они были основаны на довольно небольших выборках (включающих менее 80 участников). Исследователи из Университета Вермонта в Берлингтоне решили заново изучить этот вопрос, используя данные исследования Adolescent Brain Cognitive Development (ABCD) — крупнейшего долгосрочного исследования развития мозга и здоровья детей в США.
Повышенная скорость и точность
В настоящее время исследование ABCD охватывает почти 12 000 молодых людей, которые вступают во взрослую жизнь. Ученые проекта регулярно измеряют структуру и активность мозга участников с помощью магнитно-резонансной томографии (МРТ), собирают психологическую, экологическую и когнитивную информацию, а также биологические образцы. Цель этого масштабного исследования — понять факторы, влияющие на развитие мозга, когнитивных и социально-эмоциональных способностей, чтобы на их основе разработать мероприятия по улучшению этих аспектов.
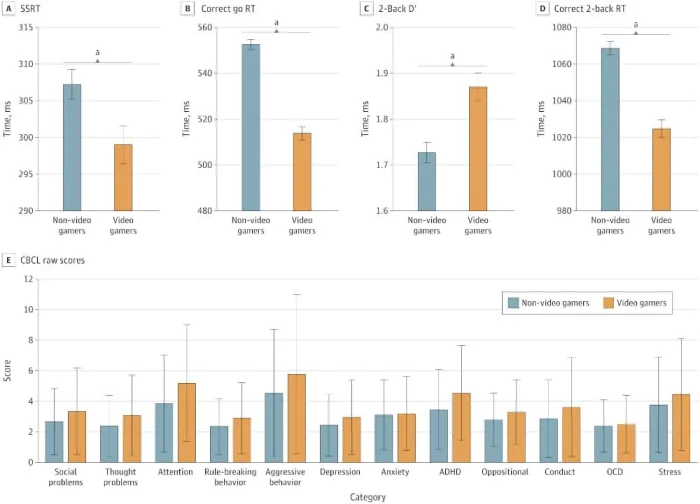
В новом исследовании, посвященном изучению влияния видеоигр, ученые взяли данные у 2217 детей (63% из которых были девочки) в возрасте 9 и 10 лет. Их разделили на две группы: одни никогда не играют в видеоигры, а другие играют в них по три и более часов в день. «Этот порог был выбран потому, что он превышает рекомендации по экранному времени Американской академии педиатрии, которая рекомендует ограничить время видеоигр до одного-двух часов в день для детей старшего возраста«, — говорится в заявлении, сопровождающем исследование.
Детям в каждой группе давали два задания (задание на стоп-сигнал, или SST, и задание на n-back) для оценки их способности контролировать импульсивное поведение и запоминать информацию. Исследователи изучили активность мозга детей с помощью функциональной МРТ во время выполнения ими этих заданий. Они обнаружили, что игроки быстрее и точнее выполняли оба задания, чем неигроки. «Это исследование предполагает, что с этим популярным развлечением могут быть связаны и когнитивные преимущества, которые требуют дальнейшего изучения«, — сказала Нора Волков, директор Национального института по злоупотреблению наркотиками.
Это различие в выполнении заданий было также подтверждено с помощью визуализации мозга: дети-игроки показали более высокую активность в областях мозга, связанных с вниманием и памятью, чем неигроки. По мнению команды, эти результаты могут быть обусловлены задачами контроля импульсов и памяти, выполняемыми во время игры в видеоигры, некоторые из которых могут быть очень когнитивно требовательными; это может привести к улучшению выполнения соответствующих задач.
Эффекты, которые могут варьироваться в зависимости от типа игры
В то же время, геймеры показали повышенную активность в лобных областях мозга, связанных с более сложными когнитивными задачами, и меньшую активность в областях мозга, связанных со зрением. «Эти результаты свидетельствуют о снижении визомоторных когнитивных затрат в результате игры в видеоигры«, — отмечают исследователи.
В отличие от психологических и поведенческих исследований, которые предполагают негативные ассоциации между игрой в видеоигры и психическим здоровьем детей (рост депрессии, насилия и агрессивного поведения), команда подчеркивает, что они не наблюдали существенных различий между игроками и неигроками. Однако необработанные показатели по поведенческим и психиатрическим категориям, оцениваемые с помощью Контрольного списка поведения ребенка, всегда были выше у геймеров, чем у негеймеров. Поэтому исследователи не исключают того, что тенденция может усилиться со временем и большей подверженностью видеоиграм. Поэтому для подтверждения этого факта необходимо длительное наблюдение.
Следует отметить, что данное исследование не устанавливало причинно-следственную связь: возможно, что игра в видеоигры улучшает когнитивные показатели, так же как возможно, что дети, которые хорошо справляются с заданиями, требующими внимания и памяти, выбирают видеоигры. Авторы исследования также отмечают, что результаты, вероятно, в значительной степени зависят от типов видеоигр — и этот уровень специфики не был учтен в данном исследовании. Игры в жанре экшн/приключения, головоломки, спортивные игры или шутеры/боевики могут по-разному влиять на нейрокогнитивное развитие; однопользовательские и многопользовательские игры также могут по-разному влиять на мозг и познание.
Будущие публикации данных исследования ABCD позволят исследователям продолжить изучение долгосрочного влияния видеоигр на познание. «Многие родители сегодня обеспокоены влиянием видеоигр на здоровье и развитие их детей, и поскольку эти игры продолжают распространяться среди молодежи, крайне важно, чтобы мы лучше понимали положительное и отрицательное воздействие, которое могут оказывать эти игры«, — заключает Бадер Чаарани, доцент кафедры психиатрии Университета Вермонта и первый автор исследования.