
Зонд JUICE передал первые данные с пути к Юпитеру
14 апреля этого года на борту ракеты-носителя Ariane V стартовала миссия ЕКА JUICE (JUpiter ICy moons Explorer) к системе Юпитера. Хотя основной целью зонда является изучение трех ледяных галилеевых спутников — Ганимеда, Каллисто и Европы, для комплекса новейших приборов, установленных на JUICE во время ввода в эксплуатацию на орбите, запланированы и другие задачи.
Теперь, после трехмесячного путешествия по Солнечной системе, два научных прибора, предоставленных Институтом Макса Планка по исследованию Солнечной системы (MPS), отправили на Землю первые научные данные. Оба аппарата оказались полностью работоспособными.
Юпитерианский электронно-ионный датчик (JEI) из пакета Particle Environment Package (PEP) провел некоторые измерения частиц солнечного ветра, а прибор субмиллиметровых волн (SWI) определил наличие воды в атмосфере Земли на расстоянии 22 млн. км. Однако для SWI первые шаги в космосе прошли совсем не так, как ожидалось, из-за проблем с развертыванием антенны RIME (Radar for Icy Moons Exploration) на JUICE.
Ввод приборов в эксплуатацию и проблемы
Части SWI и радара RIME расположены очень близко друг к другу на борту JUICE. К тому моменту, когда произошел сбой в развертывании антенны и в управлении полетом стали обсуждаться различные варианты решения проблемы, команда SWI уже понимала, что даже SWI не выйдет из этой ситуации полностью невредимым.
Обычно все этапы, предшествующие запуску прибора на борту космического корабля, определяются за несколько месяцев вперед. К сожалению, из-за заклинивания шарнира JUICE планы полностью изменились. «Пришлось ввести SWI в эксплуатацию гораздо раньше, чем планировалось«, — пояснил ученый Пол Хартог (Paul Hartogh) из MPS, главный исследователь группы SWI.
В дополнение к этому изменению плана, чтобы растопить лед на заклинившем механизме RIME, ЕКА решило повернуть зонд в сторону Солнца. Такой манёвр на столь близком расстоянии от Солнца не входил в план миссии, поэтому, чтобы убедиться в том, что SWI не будет поврежден, команде прибора пришлось как можно быстрее смоделировать на Земле реакцию SWI на сильное солнечное излучение, а затем дать добро на манёвр.
Поэтому, когда 12 мая антенна RIME была полностью развернута, это стало хорошей новостью и для команды SWI.
Обнаружение воды в атмосфере Земли на расстоянии 22 млн. км
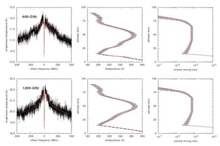
После проведения необходимых пусконаладочных работ SWI смог провести свои первые измерения. 27 июня прибор зарегистрировал первые спектры водяного пара из атмосферы Земли, причем с расстояния не менее 22 млн. км.
Данные SWI могут быть использованы для получения информации о температурном профиле и распределении водяного пара в зависимости от высоты. И эти первые результаты позволяют надеяться на обнаружение водяного пара в атмосфере Юпитера на расстоянии 250 млн. км.
Первые измерения JUICE: солнечный ветер
Датчик JEI пакета PEP также успешно завершил первый ввод в эксплуатацию, продемонстрировав свои возможности в области низких и средних напряжений. Его первые научные данные касаются обнаружения протонов и альфа-частиц в солнечном ветре.
Поток частиц от Солнца постоянно обтекает космический аппарат JUICE во время его траектории к Юпитеру. Однако, поскольку PEP не смотрит прямо в направлении набегающего солнечного ветра, ученые не ожидали увидеть его следы в данных JEI.
Однако из-за большой разницы скоростей между зондом и солнечным ветром некоторые частицы достигают датчика. Это было важным осознанием для команды PEP-JEI, которая использовала ввод прибора в эксплуатацию именно для того, чтобы лучше узнать его и понять, как он будет вести себя после прибытия к месту назначения.
Более глубокие проверки этих результатов SWI и JEI проведут не ранее января 2024 года. А пока JUICE продолжает свое путешествие по Солнечной системе, которое через восемь лет, если все пойдет по плану, приведет его на орбиту вокруг Юпитера.
